Pucuk Dicita Ulam Mendatang In English





Pucuk Dicita Ulam Mendatang

Pucuk Dicita Ulam Mendatang

Pucuk Dicita Ulam Mendatang Itu Intan Bakery House Facebook

Pucuk Dicita Ulam Mendatang Itu Intan Bakery House Facebook

Pucuk Dicita Ulam Mendatang Pucuk Dan Pasar Tani Kekal Changlun Facebook

Pucuk Dicita Ulam Mendatang Pucuk Dan Pasar Tani Kekal Changlun Facebook

Belajar Peribahasa Posts Facebook

Belajar Peribahasa Posts Facebook

Adamabdullah On Twitter Apa Maksud Pucuk Dicita Ulam Mendatang Tak Tau Haha Http T Co Ml9omeyegf

Adamabdullah On Twitter Apa Maksud Pucuk Dicita Ulam Mendatang Tak Tau Haha Http T Co Ml9omeyegf

Contoh Peribahasa

Contoh Peribahasa

Contoh Peribahasa

Pucuk Dicita Ulam Mendatang Nurnajla Roslan 2020 Lazada

Pucuk Dicita Ulam Mendatang Nurnajla Roslan 2020 Lazada

Siri Cerita Peribahasa Set 2 Satu Set Mengandungi 6 Buah Buku Shopee Malaysia

Siri Cerita Peribahasa Set 2 Satu Set Mengandungi 6 Buah Buku Shopee Malaysia

Cyberjaya Info On Twitter Pucuk Dicita Ulam Mendatang Macam Tau Tau Je Admin Tengah Mencari Pokok Nak Hias Rumah

Cyberjaya Info On Twitter Pucuk Dicita Ulam Mendatang Macam Tau Tau Je Admin Tengah Mencari Pokok Nak Hias Rumah

Ibarat Pucuk Dicita Ulam Mendatang Wadah Seni Entertainment Facebook

Ibarat Pucuk Dicita Ulam Mendatang Wadah Seni Entertainment Facebook

Pucuk Dicita Ulam Mendatang Malaysia Terima 100 000 Kit Ujian Covid 19 600 000 Topeng Muka Dari China Kp Kesihatan

Pucuk Dicita Ulam Mendatang Malaysia Terima 100 000 Kit Ujian Covid 19 600 000 Topeng Muka Dari China Kp Kesihatan

Bagai Pucuk Dicita Ulam Mendatang Chang Khim

Bagai Pucuk Dicita Ulam Mendatang Chang Khim

Syazwan Rosli On Twitter Pucuk Dicita Ulam Mendatang

Syazwan Rosli On Twitter Pucuk Dicita Ulam Mendatang

Peribahasa 2

Peribahasa 2

Pucuk Dicita Ulam Mendatang Makan As Legacy Sabak Bernam Facebook

Pucuk Dicita Ulam Mendatang Makan As Legacy Sabak Bernam Facebook

Federal Highways Instagram Posts Gramho Com

Federal Highways Instagram Posts Gramho Com

Cyberjaya Info On Twitter Pucuk Dicita Ulam Mendatang Macam Tau Tau Je Admin Tengah Mencari Pokok Nak Hias Rumah

Cyberjaya Info On Twitter Pucuk Dicita Ulam Mendatang Macam Tau Tau Je Admin Tengah Mencari Pokok Nak Hias Rumah

Limited Edition Buku Cerita 1 Set 6 Books Shopee Malaysia

Limited Edition Buku Cerita 1 Set 6 Books Shopee Malaysia

Pucuk Dicita Ulam Mendatang Siri Hani Ahmad Noraemi Facebook

Pucuk Dicita Ulam Mendatang Siri Hani Ahmad Noraemi Facebook

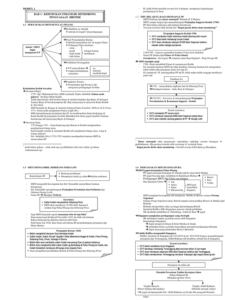
Modul 1 Bab 1 Kedudukan Stratigik Mendorong Penguasaan British

Modul 1 Bab 1 Kedudukan Stratigik Mendorong Penguasaan British

Source : pinterest.com